無料の体験授業・学習相談のお申込み・資料請求はお電話でも受け付けています。
受付時間 月〜土 9:00〜21:30
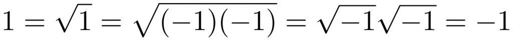
ホーム » 校舎ブログ » 1=-1
2025年10月20日
富山本部校高校部
???
2026年4月27日
2026年4月25日
2026年4月24日